怎样学习随机变量方差极其性质
方差是随机变量的一种重要的数字特征,这里介绍怎样学习随机变量方差极其性质。
工具/原料
概率论
方差
方差的定义
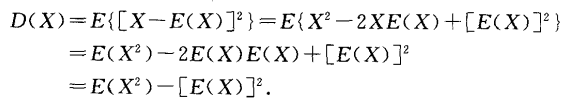
1、方差的定义如图。


方差的性质
1、方差的性质1:常数方差为零。


2、方差的性质2:随机变量线性变化过后的方差。


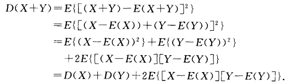
3、方差的性质3:随机变量和差的方差。


4、方差的性质4:任意随机变量的方差计算公式。


方差是随机变量的一种重要的数字特征,这里介绍怎样学习随机变量方差极其性质。
工具/原料
概率论
方差
方差的定义
1、方差的定义如图。


方差的性质
1、方差的性质1:常数方差为零。


2、方差的性质2:随机变量线性变化过后的方差。


3、方差的性质3:随机变量和差的方差。


4、方差的性质4:任意随机变量的方差计算公式。

