matlab如何进行信号分析
1、典型正弦数字信号与随机信号运算后在MATLAB进行频域分析,对随机信号进行统计分析,然后系统初始化通过数字低通滤波器对上述产生的混合信号进行滤噪处理,得到原始正弦信号,基本流程如下:

2、列举几个典型的信号的产生,正弦序列 ,周期序列,高斯随机序列。本文都是标准信号表达式,公式编辑器无法在百度经验显示,省略!如下图所示





3、我们对离散信号进行加减运算,x(n)=x1(n)+x2(n),如下图所示。
当序列和的长度不等或位置不对应时,首先应使两者的位置对齐,然后通过zeros函数左右补零使其长度相等后再相加。下图是正弦序列加减随机序列图:

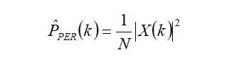
4、经典法功率谱估计,
经典功率谱估计主要包括Tukey提出的相关函数估计,Schuster提出的周期图估计,间接法(BT法)、Bartlett法谱估计、Welch法谱估计、Buttall法谱估计,以及Brurg提出的最大熵谱估计。本节主要运用基于直接法的功率谱估计、基于间接法的功率谱估计、Welch法功率谱估计对正弦信号加高斯噪声信号的功率谱估计。

5、下面我们用公式法和periodogram实现直接法的功率谱估计曲线,如下图所示
periodogram直接法:
[Pxx,w]=periodogram(x)
[Pxx,w]=periodogram(x,window)
[Pxx,w]=periodogram(x,window,nfft,fs)
[Pxx,…]=periodogram(x,…,’range’)
Periodogram(…)



6、下面我们对算法进行改进,再来对功率谱估计,如下图所示
1、Batlett法
通过psd函数对Barlett平均周期图进行功率谱估计,代码如下:
Pxx=psd(x,nfft,fs,window)
[Pxx,f]=psd(x,nfft,fs,window,noverlap)
[Pxx,f,F]=psd(x,nfft,fs,window,noverlap,p)
Psd(x,...,’dflag’)
2、Welch法
Pwelch函数代码如下:
[Pxx,w]=pwelch(x)
[Pxx,w]=pwelch(x,window)
[Pxx,w]=pwelch(x,window,noverlap)
[Pxx,w]=pwelch(x,window,noverlap,nfft)
[Pxx,f]=pwelch(x,window,noverlap,nfft,fs)
[...]=pwelch(x,window,noverlap,...’range’)
Pwelch(...)



7、最后是正弦信号的提取,具体如下图所示

