QQ如何给好友留言
1、第一步:在手机界面上找到【QQ】并点击登录,如下图所示

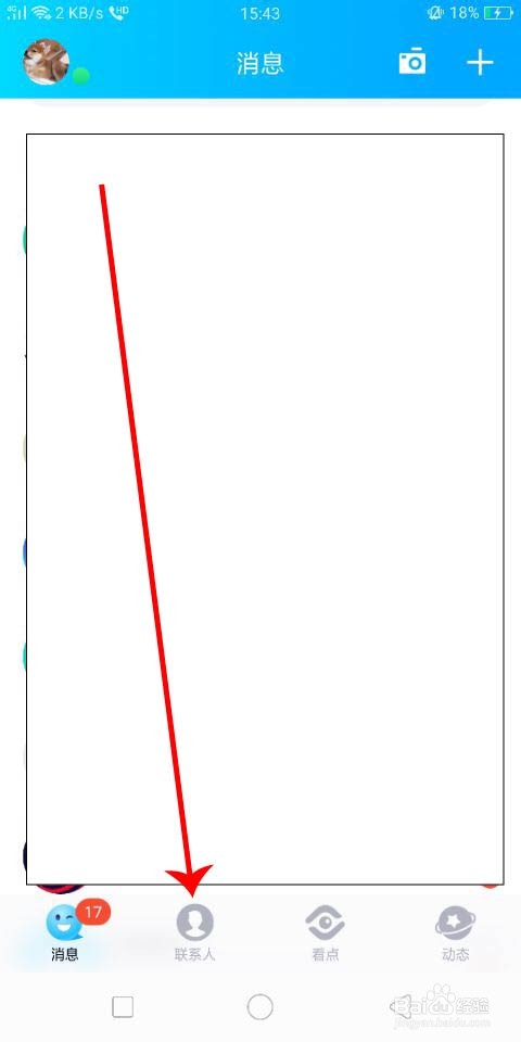
2、第二步:进入QQ以后点击【联系人】,如下图所示。

3、第三歩:点击你想留言的好友,如下图所示。

4、第四步:点击好友的【空间】,如下图所示。

5、第五步:点击【留言】,如下图所示。

6、第六步:然后点击【留个言吧....】,如下图所示。

7、第七步:最后输入你想说的话,接着点击【发表】。如下图所示。

1、第一步:在手机界面上找到【QQ】并点击登录,如下图所示

2、第二步:进入QQ以后点击【联系人】,如下图所示。

3、第三歩:点击你想留言的好友,如下图所示。

4、第四步:点击好友的【空间】,如下图所示。

5、第五步:点击【留言】,如下图所示。

6、第六步:然后点击【留个言吧....】,如下图所示。

7、第七步:最后输入你想说的话,接着点击【发表】。如下图所示。
